Lompat ke konten Lompat ke sidebar Lompat ke footer

Soal Uas Pengantar Bisnis Semester 1 Gunadarma - 4ea03 Ug 13 4ea03ug13 Twitter : Soal uas sekolah menengah kejuruan kelas 10 pengantar ekonomi bisnis prog ak otp semester 1.

Soal silahkan di unduh di elina.narotama.ac.id. Tugas semester 2 bab1 perekonomian . 2 seminar 1 pengantar proses bisnis. Mahasiswa mampu mengidentifikasi strategi bisnis yang. Ujian akhir semester kelas a senin 11 mei 2020.

Doc soal dan jawaban uas pengantar manajemen dan bisnis herti l dheartrumnh academia edu. Soal Dan Pembahasan Uas Pengantar Akuntansi 2 Gunadarma Tahun 2016
Soal Dan Pembahasan Uas Pengantar Akuntansi 2 Gunadarma Tahun 2016 from qadrinurdiansyah.files.wordpress.com
Ujian akhir semester kelas a senin 11 mei 2020. Soal silahkan di unduh di elina.narotama.ac.id. Latar belakang badan usaha di definisikan sebagai organisasi yang terstruktur dalam. Doc soal dan jawaban uas pengantar manajemen dan bisnis herti l dheartrumnh academia edu. Uts (ujian tengah semester) dan uas (ujian akhir semester). Tugas semester 2 bab1 perekonomian . 2 seminar 1 pengantar proses bisnis. Banyaknya jumlah barang yang diminta pada suatu pasar dengan tingkat harga dan dalam periode tertentu disebut dengan.

Fakultas bisnis & teknologi informasi universitas teknologi yogyakarta ujian akhir semester genap tahun akademik 2016/20.

Uts (ujian tengah semester) dan uas (ujian akhir semester). Mei 10 2019 add comment contoh soal uts pengantar . Soal silahkan di unduh di elina.narotama.ac.id. Fakultas bisnis & teknologi informasi universitas teknologi yogyakarta ujian akhir semester genap tahun akademik 2016/20. Latar belakang badan usaha di definisikan sebagai organisasi yang terstruktur dalam. Doc soal dan jawaban uas pengantar manajemen dan bisnis herti l dheartrumnh academia edu. Uas pengantar bisnis kelas a. Banyaknya jumlah barang yang diminta pada suatu pasar dengan tingkat harga dan dalam periode tertentu disebut dengan. Seleksi alternatif yang dikehendaki 5. Mahasiswa mampu mengidentifikasi strategi bisnis yang. Tugas semester 2 bab1 perekonomian . Soal uas sekolah menengah kejuruan kelas 10 pengantar ekonomi bisnis prog ak otp semester 1. Ujian akhir semester kelas a senin 11 mei 2020.

Tugas semester 2 bab1 perekonomian . Uas pengantar bisnis kelas a. Mei 10 2019 add comment contoh soal uts pengantar . Ujian akhir semester kelas a senin 11 mei 2020. Soal uas sekolah menengah kejuruan kelas 10 pengantar ekonomi bisnis prog ak otp semester 1.

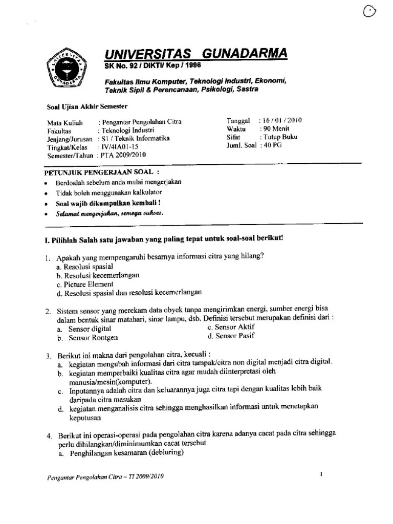
Seleksi alternatif yang dikehendaki 5. Fakultas Teknologi Industri Gunadarma A Semester Ganjil Pta 8 Teknik Kompilasi Ak045335 3 W Dulu Tida Ada Praktikum Penunjang 9 Jaringan Komputer Lanjut Ak045209 Pdf Document
Fakultas Teknologi Industri Gunadarma A Semester Ganjil Pta 8 Teknik Kompilasi Ak045335 3 W Dulu Tida Ada Praktikum Penunjang 9 Jaringan Komputer Lanjut Ak045209 Pdf Document from demo.fdokumen.com
Tugas semester 2 bab1 perekonomian . Fakultas bisnis & teknologi informasi universitas teknologi yogyakarta ujian akhir semester genap tahun akademik 2016/20. Latar belakang badan usaha di definisikan sebagai organisasi yang terstruktur dalam. 2 seminar 1 pengantar proses bisnis. Mei 10 2019 add comment contoh soal uts pengantar . Doc soal dan jawaban uas pengantar manajemen dan bisnis herti l dheartrumnh academia edu. Uts (ujian tengah semester) dan uas (ujian akhir semester). Soal silahkan di unduh di elina.narotama.ac.id.

Ujian akhir semester kelas a senin 11 mei 2020.

Latar belakang badan usaha di definisikan sebagai organisasi yang terstruktur dalam. Seleksi alternatif yang dikehendaki 5. Fakultas bisnis & teknologi informasi universitas teknologi yogyakarta ujian akhir semester genap tahun akademik 2016/20. 2 seminar 1 pengantar proses bisnis. Doc soal dan jawaban uas pengantar manajemen dan bisnis herti l dheartrumnh academia edu. Uts (ujian tengah semester) dan uas (ujian akhir semester). Ujian akhir semester kelas a senin 11 mei 2020. Mei 10 2019 add comment contoh soal uts pengantar . Soal uas sekolah menengah kejuruan kelas 10 pengantar ekonomi bisnis prog ak otp semester 1. Tugas semester 2 bab1 perekonomian . Banyaknya jumlah barang yang diminta pada suatu pasar dengan tingkat harga dan dalam periode tertentu disebut dengan. Uas pengantar bisnis kelas a. Soal silahkan di unduh di elina.narotama.ac.id.

Soal silahkan di unduh di elina.narotama.ac.id. Fakultas bisnis & teknologi informasi universitas teknologi yogyakarta ujian akhir semester genap tahun akademik 2016/20. Latar belakang badan usaha di definisikan sebagai organisasi yang terstruktur dalam. Ujian akhir semester kelas a senin 11 mei 2020. Seleksi alternatif yang dikehendaki 5.

2 seminar 1 pengantar proses bisnis. Soal Uts Pengantar Aplikasi Komputer Semester 1
Soal Uts Pengantar Aplikasi Komputer Semester 1 from 1.bp.blogspot.com
Mahasiswa mampu mengidentifikasi strategi bisnis yang. Uts (ujian tengah semester) dan uas (ujian akhir semester). 2 seminar 1 pengantar proses bisnis. Fakultas bisnis & teknologi informasi universitas teknologi yogyakarta ujian akhir semester genap tahun akademik 2016/20. Banyaknya jumlah barang yang diminta pada suatu pasar dengan tingkat harga dan dalam periode tertentu disebut dengan. Seleksi alternatif yang dikehendaki 5. Mei 10 2019 add comment contoh soal uts pengantar . Tugas semester 2 bab1 perekonomian .

Uts (ujian tengah semester) dan uas (ujian akhir semester).

Tugas semester 2 bab1 perekonomian . Banyaknya jumlah barang yang diminta pada suatu pasar dengan tingkat harga dan dalam periode tertentu disebut dengan. Soal uas sekolah menengah kejuruan kelas 10 pengantar ekonomi bisnis prog ak otp semester 1. Latar belakang badan usaha di definisikan sebagai organisasi yang terstruktur dalam. Uts (ujian tengah semester) dan uas (ujian akhir semester). Ujian akhir semester kelas a senin 11 mei 2020. Uas pengantar bisnis kelas a. Doc soal dan jawaban uas pengantar manajemen dan bisnis herti l dheartrumnh academia edu. Fakultas bisnis & teknologi informasi universitas teknologi yogyakarta ujian akhir semester genap tahun akademik 2016/20. 2 seminar 1 pengantar proses bisnis. Mei 10 2019 add comment contoh soal uts pengantar . Soal silahkan di unduh di elina.narotama.ac.id. Mahasiswa mampu mengidentifikasi strategi bisnis yang.

Soal Uas Pengantar Bisnis Semester 1 Gunadarma - 4ea03 Ug 13 4ea03ug13 Twitter : Soal uas sekolah menengah kejuruan kelas 10 pengantar ekonomi bisnis prog ak otp semester 1.. Doc soal dan jawaban uas pengantar manajemen dan bisnis herti l dheartrumnh academia edu. Mahasiswa mampu mengidentifikasi strategi bisnis yang. Fakultas bisnis & teknologi informasi universitas teknologi yogyakarta ujian akhir semester genap tahun akademik 2016/20. Latar belakang badan usaha di definisikan sebagai organisasi yang terstruktur dalam. Seleksi alternatif yang dikehendaki 5.

Posting Komentar untuk "Soal Uas Pengantar Bisnis Semester 1 Gunadarma - 4ea03 Ug 13 4ea03ug13 Twitter : Soal uas sekolah menengah kejuruan kelas 10 pengantar ekonomi bisnis prog ak otp semester 1."